解析黑體發射率、波長依賴性及非線性誤差與校正
精準輻射校正,洞悉真實溫度
在精密紅外線量測應用中,準確掌握目標的真實溫度至關重要,然而,多種物理因素可能導致透過接觸式溫度計直接量測的黑體溫度(學術上稱為「測溫溫度」或 thermometric temperature)與透過非接觸式輻射計遠程感測的溫度(稱為「輻射溫度」或「有效溫度」,radiometric temperature 或 effective temperature)之間產生系統性的差異,這些差異不僅影響單點絕對溫度讀值的準確性,更對需要精確比較兩點或多點間溫度變化的溫差(ΔT)量測的可靠性造成顯著影響,進而可能誤導對熱性能特性或微小熱異常的判讀;因此,理解這些差異的來源並加以校正是實現高精度紅外線熱像分析與溫度量測的基礎。
輻射溫度誤差的主要來源
這些導致測溫溫度與輻射溫度不一致的誤差,主要可以歸納為兩個根本性的來源: 第一個來源是紅外線 (IR) 光源自身輻射輸出的衰減,這代表實際到達輻射計感測器的能量,會因為諸如黑體自身發射率限制(即其發射效率並非理想的100%)、紅外光在傳播路徑中遭遇的光學損失(例如:鏡片或窗口的吸收與反射)、或是通過大氣介質時的吸收與散射衰減等因素,而低於該黑體在理想狀態下(完美發射體)於其測溫溫度時應有的輻射通量; 第二個誤差來源,則源於物理學上普朗克定律 (Planck's Law) 所描述的黑體輻射率與其絕對溫度之間固有的非線性函數關係,此特性使得輻射能量的變化量與溫度的變化量並非簡單的成正比,尤其在量測溫差時,相同的實際溫差在不同的背景溫度或絕對溫度區間,可能對應到不相等的輻射功率差異,從而使解讀和校準更具挑戰性。這兩種主要的誤差源將在後續的章節中分別進行更詳細的探討。
輻射輸出衰減的影響與校正
讓我們先深入檢視第一個主要的誤差來源——即紅外線源輻射輸出的衰減所帶來的影響及其校正方法,當一部黑體的實際輻射輸出因其發射率未能達到理想的100%(即小於1)而低於其理論值時,遠端的輻射計所接收到的紅外線能量將會偏低,從而將此黑體「感知」為一個溫度較低的目標,一個直觀的補償方式是稍微調高黑體的測溫溫度設定點,使得其輻射輸出在經過衰減後,恰好能達到原先期望的輻射水平。 然而,精確地決定需要將此設定點「調高多少」以達成有效的補償,實際上是一個遠比表面看來更為複雜的問題,因為這不僅僅是一個固定偏差值的調整,它牽涉到對黑體自身材料特性、周遭環境條件以及量測波段等多重因素的綜合考量,這些因素的交互作用使得校正值的計算必須非常謹慎,接下來我們將探討這些複雜因素如何影響補償值的確定。
發射率與環境溫度的交互作用
讓我們先來看一個很常見的實際情況,這能幫助我們理解問題的複雜性,假設我們有一個黑體,它的發射率(也就是它發出紅外線熱能的效率)是 96%,這代表它只會發出一個理想黑體(效率100%的完美發熱體)在相同溫度下所能發出熱量的 96%。
那麼,相對於理想黑體百分之百的發射能力,一個發射率為96%的黑體,其未能完全發射的能量差額是如何在其與環境的熱交換中體現的呢?對於如黑體這類不透明物體而言,當其自身的發射效率並非完美(即小於100%)時,其固有的表面物理特性同時也決定了它必然會反射一部分來自周遭環境的入射輻射;因此,此發射率為96%的黑體,不僅代表著其主動發出的輻射通量為理想狀態的96%,它同時也會將照射到其表面的環境輻射能量精確地反射掉4%,這部分被反射的環境輻射將疊加在其自身發射的輻射之上,成為輻射計讀數的一部分。
這就是事情變得麻煩的地方(即「複雜之處」):紅外線測溫儀器(輻射計)實際測到的總熱量,其實是「黑體自己發出的熱量(那96%的部分)」加上「黑體反射的環境熱量(那4%的部分)」,因此,我們要對黑體的溫度設定點進行校正,就必須準確知道周圍環境到底貢獻了多少熱能被反射,因為這個反射的量會影響我們最終的判讀;在實際應用中,為了簡化計算,我們通常會把周圍環境當作一個整體,並假設它本身就像一個處於室溫的標準黑體在發熱。
換個方式來理解這個概念會更清楚:
- 想像一個情境:如果這個(不完美的)黑體的溫度,恰好等於它所在的房間的溫度,比如都是 25∘C,在這種情況下,不論這個黑體的發射率是多少(哪怕只有90%或更低),我們幾乎不需要對它進行校正。為什麼呢?因為它自己發熱不足的部分(因為發射率不是100%),正好被它從相同溫度的環境中所反射的熱量給「補足」了,達到了某種熱平衡的視感,所以,輻射計量測到的「輻射溫度」會非常接近甚至等於溫度計直接測量的「測溫溫度」。
- 同樣的道理,如果一個黑體和它所在的環境都是 40∘C,也不需要特別校正。
- 但是,情況就不同了:如果我們有一個目標溫度設定在 40∘C 的黑體,但它卻是放在一個只有 25∘C 的房間裡。這時,因為它的發射率不是100%(例如是96%),它自己發出的熱量就比理想的40∘C黑體要少,雖然它還是會反射來自25∘C房間的熱量,但這部分被反射的「冷環境」熱量,並不足以完全彌補它自身因發射不完美而在40∘C時應有熱量的「缺口」,結果就是,紅外線測溫儀器會認為這個黑體「不夠熱」,所以量測到的輻射溫度會明顯低於它實際設定的 40∘C。
波長依賴性
須注意此誤差將具波長依賴性,在上述範例中,反射能量在 3-5μm 頻段與 8-12μm 頻段中佔總通量的比例將會不同。
誤差的顯著性與校正方法的探討
這些誤差是否顯著,取決於使用者的應用情境,下方的圖表顯示了當黑體溫度在 10∘C 至 60∘C 之間變化時,一個發射率為 96% 的黑體在不同環境溫度下的誤差,請注意,如前所述,當環境溫度等於黑體溫度時,誤差為零。

圖1:不同環境溫度下,發射率為 96% 之黑體的輻射溫度誤差(3-5μm 及 8-12μm 頻段)
部分市售黑體嘗試透過在溫度設定點中加入增益或偏移校正來補償輻射損失,然而,如上文所討論的環境溫度依賴性和波長依賴性,使得這種校正充其量只是一種不確定的近似值,SBIR (Santa Barbara Infrared) 的黑體提供更精密的輻射校正選項,該選項可量測環境溫度並自動計算及應用真實的波長補償調整。作為此類黑體的替代方案,使用者可以利用光譜資料、環境溫度和普朗克定律 (Planck's Law) 來計算校正值,並將其加到黑體的設定點,隨環境溫度變化更新該設定點,應謹慎對待過於簡化的解決方案!
SBIR Infinity 系列絕對溫度黑體系統 (EX 系列) 提供 4 到 14 英吋的多種尺寸選擇,專為滿足最嚴苛的紅外線 (IR) 測試需求而設計;Infinity 黑體展現了市面上頂尖的效能,具備快速、穩定、均勻、準確與可靠等特性。
輻射衰減對溫差誤差的影響
我們前述的討論主要集中在單一溫度點的絕對溫度誤差,也就是解釋了為何一個黑體經輻射計量測所得的溫度,會因輻射衰減等因素而偏離其真實的測溫溫度;然而,這種輻射衰減現象同樣也是造成溫差 (ΔT) 量測不準確的一個重要來源。
要理解這一點,我們必須認識到,一個溫差 (ΔT) 是由兩個獨立的溫度表面(例如 T1 和 T2)所構成的,由於這兩個表面的溫度通常不同,它們各自與周圍環境溫度之間的差距自然也會有所不同;正如我們先前所討論的,對任何一個表面進行輻射溫度校正時,其校正量的大小不僅取決於該表面的發射率,也與其自身溫度和環境溫度之間的差異(這影響了環境反射的相對貢獻)密切相關;因此,構成 ΔT 的這兩個溫度點(T1 和 T2),因為它們相對於環境溫度的狀態不同,所以各自所需的輻射衰減校正量也會不一樣;這代表著,輻射計對 T1 的讀值誤差和對 T2 的讀值誤差通常並不相等,兩者誤差相減後,便會直接導致最終量測到的 ΔT 值產生偏差。
在實際的差動式黑體或溫差測試應用中,通常情況下,構成 ΔT 的其中一個溫度表面(例如,參考目標板)會被設計成使其溫度隨環境溫度自由浮動,或者直接取用一個與環境達到熱平衡的參考體。在理想狀況下,如果這個參考表面的溫度確實與周遭環境的有效溫度完全一致,那麼根據我們先前的討論(處於環境溫度下的物體,其輻射溫度與測溫溫度趨於一致),這個參考表面可能不需要額外進行輻射衰減校正,其輻射讀值可視為相對準確。
但這裡必須特別注意一個潛在問題:即便差動式黑體的某個參考目標板的設計初衷是維持在環境溫度,但如果它在物理位置上非常靠近主要的發熱黑體表面,那麼這個參考目標板很可能會因為接收到來自高溫黑體的熱輻射而被間接加熱,導致其實際表面溫度高於真正的整體環境溫度;一旦發生這種情況,這個原本應作為「環境溫度參考」的目標板,其輻射溫度讀值也將不再準確,同樣需要進行輻射衰減校正,這使得整個溫差的校正過程更為複雜。
因此,為了精確量測溫差,我們必須仔細評估並分別校正構成該溫差的每一個溫度表面的輻射衰減效應。然而,輻射衰減並非影響溫差量測準確性的唯一因素,即便我們能夠完美地解決所有與發射率和反射相關的衰減問題,還存在另一種更為隱蔽的誤差來源,它同樣會對溫差的解讀造成困擾,接下來我們將探討這個問題。
輻射率與溫度的非線性關係
輻射溫度誤差的另一個來源更為細微,即使在理想的黑體源(發射率 = 100%)中也存在,此誤差僅影響溫差,其原因在於黑體輻射率並非溫度的線性函數,因此,給定的溫差並不總是產生相同的輻射率差異,例如,3∘C 的 ΔT (23∘C 至 26∘C)將產生與 3∘C 的 ΔT (24∘C 至 27∘C)不同的輻射對比度。
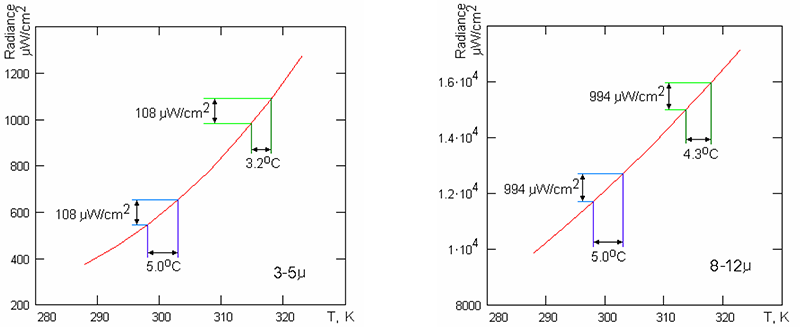
下方的圖表(帶內黑體輻射率隨溫度變化的曲線圖)有助於理解此現象發生的原因,差動式黑體通常允許一個溫度(目標板)隨環境溫度浮動,並控制相對於此環境目標的溫差,您可以看到,在 298K 的環境溫度下,5∘C 的 ΔT 將產生 108μW/cm2 的輻射對比度(3-5$\mu$m),但在 313K 時,僅需 3.2∘C 的 ΔT 即可產生相同的對比度,因此,若黑體設定為 5∘C ΔT,當室溫上升時,它將產生更高的輻射對比度,從而導致更高的視在 ΔT。

圖2:不同背景溫度下,產生相同輻射對比度所需之 ΔT 差異(3-5μm 及 8-12μm 頻段)
輻射溫差 (RΔT) 的概念與應用
這在紅外線測試中是一個問題,因為成像系統是對輻射對比度作出反應,而黑體通常是控制溫度對比度,解決這種差異的一種方法是考慮一個稱為輻射溫差 (Radiometric Temperature Difference, RΔT) 的量,其定義為「由一個處於 298K 的黑體與另一個溫度高出 298K 達 RΔT 的黑體所產生的、在目標波段內積分得到的相同輻射對比度」,請注意,雖然 RΔT 以溫度單位表示,但它實際上定義的是一個輻射對比度。沿用前一段的例子:對於一個 3-5μm 感測器,5°C 的 RΔT 可以由一對分別處於 298K 和 303K 的黑體產生,或者由一對分別處於 313K 和 316.2K 的黑體產生,依此類推,此現象具有波長依賴性,對於一個 8-12μm 感測器,298K 和 303K 仍會產生所需的 RΔT (根據定義),但 313K 和 316.2K 將不再產生 RΔT = 5°C 的結果;313K 和 317.3K 才會產生此對比度。
非線性誤差的影響範圍
雖然 313K (40°C 或 104°F) 的環境溫度在實驗室中不太可能出現,但在現場測試環境中卻可能遇到,然而,即使是實驗室中較溫和的溫度變化也可能導致顯著的誤差;下方的圖表顯示了不同背景溫度下的 ΔT 誤差,請注意,3-5μm 的誤差尤其可能變得相當大:在高背景溫度下誤差可達50% 或更高。

圖3:不同背景溫度下,目標 ΔT與實際輻射溫差 (RΔT) 之誤差(3-5μm 及 8-12μm 頻段)
精準輻射溫度校正的重要性
因此,我們必須再次強調,前述討論中提及的輻射率與溫度的非線性現象——即在不同背景溫度下,相同的實際溫差 (ΔT) 會產生不等量的輻射對比度——這並非源於黑體本身的材料缺陷,例如:其發射率未能達到理想的100%,或是其他儀器設計上的某些限制所導致的,恰恰相反,此現象是量子物理學中普朗克定律 (Planck's Law) 所描述的黑體輻射基本物理特性的直接體現。普朗克定律精確地闡述了理想黑體在不同溫度和不同波長下所發射的電磁輻射能量分佈,其核心在於輻射能量隨溫度的增加而增加,但這種增加的速率並非恆定不變,而是呈現複雜的非線性關係,且此關係亦隨觀測波段而異。
正是由於這一根本性的物理原理,事實上,若要透過紅外線系統獲得真正準確的輻射對比度資訊(這才是紅外線成像與感測系統真正「看到」的物理量),就必須同時周全地實施兩種關鍵校正:其一是針對前文討論的發射率校正(以及相關的環境反射、大氣與光學衰減等因素的補償),用以修正因黑體非理想性及環境干擾所造成的輻射輸出衰減;其二是針對此刻討論的輻射非線性度校正,用以彌補輻射強度與溫度間的非線性關係對溫差解讀所造成的偏差。
這兩類校正的必要性,也進一步突顯了僅依賴簡化的固定增益調整或單純的偏移量補償等方法,在追求高精度輻射溫度量測時的侷限性與實用性不足。因為這些簡化手段往往難以全面顧及環境溫度變化、特定工作波段以及普朗克函數內在的複雜非線性特性對最終輻射訊號的綜合影響。
因此,對於需要精密輻射量測的使用者而言,通常有兩種途徑來應對這些複雜的校正需求:其一是離線自行計算校正參數,這需要使用者掌握詳細的光譜輻射數據、精確的環境參數,並運用普朗克定律進行繁複的迭代計算,且需隨條件變化即時更新;另一種更為高效且可靠的途徑,則是採用如 SBIR (Santa Barbara Infrared) 所研發的先進黑體控制器,這類控制器內建了精密的演算法與必要的感測器(如環境溫度計),能夠自動、即時地計算並應用真實且全面的輻射校正,從而確保輸出的輻射場景具有高度的準確性與可信度。選擇何種校正策略,將直接影響紅外線量測結果的品質,尤其對於那些結果攸關重大的高階應用而言更是如此。
精進輻射溫度量測的挑戰與未來
本文深入探討了輻射溫度與測溫溫度之間差異的複雜性,並闡明了造成這些差異的兩個主要誤差來源;首先是紅外線源輻射輸出的衰減,這與黑體發射率不完美、環境的反射與輻射干擾、光學系統的損耗以及大氣衰減等多重因素相關,且此類誤差具有顯著的波長依賴性,單純的增益或偏移校正往往不足以應對。
第二個主要誤差來源則是輻射率與溫度之間的非線性關係,此現象尤其影響差動溫度 (ΔT) 的精確量測,使得相同的實際溫差在不同背景溫度下可能產生不同的視在輻射對比度,為此引入了輻射溫差 (RΔT) 的概念來進行更精確的描述,強調要獲得真正準確的輻射對比度與溫度量測結果,必須同時實施發射率校正和非線性度校正,這需要如 SBIR 所提供的精密黑體控制器與先進校正演算法。
展望未來,隨著各產業對紅外線偵測與成像技術的依賴日深,對輻射溫度量測準確性與校準標準的要求也將持續提升,我們可以預見,相關技術將朝向開發更為精密、穩定且能即時補償多種環境與儀器變數的黑體校準源及校正演算法發展,這些先進的輻射量測與校準技術將更廣泛地整合到自動化測試與特性分析系統中,服務於對溫度控制與熱特性分析有極高要求的領域,例如:先進材料研發、航空航太工程、半導體製程監控、氣候變遷科學研究以及國防工業等。同時,高精度紅外線測試設備的易用性與成本效益也將是推動其普及應用的重要趨勢。
在台灣,若企業或研究單位期望導入並整合 SBIR 的尖端紅外線測試技術與解決方案,以應對上述輻射溫度量測的挑戰,奧創系統 (Ultron Systems) 是您值得信賴的合作夥伴,奧創系統是 SBIR 在台灣的授權合作夥伴,專注於提供專業的系統整合與解決方案,我們的核心能力在於深刻理解客戶的應用需求,為客戶進行紅外線測試系統的整體規劃,並依據具體的使用情境與技術指標,提供客製化的服務與完整的系統建置。
奧創系統提供的解決方案涵蓋了紅外線測試所需的關鍵設備,例如高穩定性的黑體校準源 (Blackbody Calibration Sources)、精密的紅外線準直儀 (Infrared Collimators)、自動化的目標輪 (Target Wheels) 以及整合式的紅外線目標投影系統 (IR Target Projectors) 等,我們致力於協助客戶將這些先進設備有效地整合到其測試流程中,確保輻射溫度的量測達到最高的準確性與可靠性,無論您的需求是在實驗室環境進行精密校準,或是在產線進行高效能的品質檢測,奧創系統都能提供相應的規劃與技術支援,助您克服挑戰,提升競爭力。